当前位置: 首页 / 新闻信息
同心战“疫” | 今天又是努力学习的一天!
发布时间:2022-03-23浏览量:3881

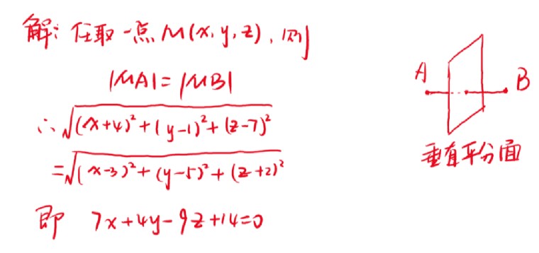
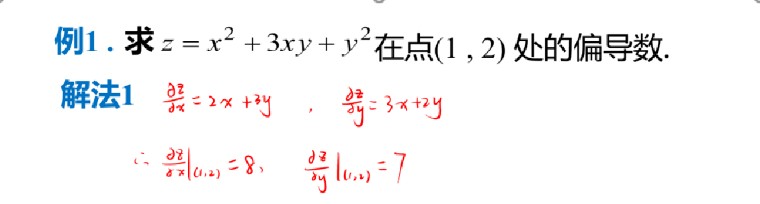
大数据学院教学案例--高等数学II

王纪利高等数学教研室

一、基本教学思路

本课程采用“QQ直播”授课+QQ群在线互动+ “学习通”作业等多平台综合教学方式,进行课前预习、课中在线直播授课加练习与习题互动、课后复习及完成作业,使学生积极参与教学活动,达到线上教学较佳的学习效果。

二、线上教学活动的组织与管理

本课程具体教学组织包括课前预习、课中直播教学、课后作业3个教学阶段。

1.课前线上及线下自学

本次线上授课比较突然,属于临时通知,周末及时联系2021级数据科学与大数据技术本科1、2班及2021级船舶与海洋工程本科1班和2021级车辆工程本科1班的课代表及班长,建立QQ群,提前调试设备,让学生熟悉线上教学操作流程,在群内 发布接下来的相关学习内容,方便学生提前预习。

(班级QQ群)

2.课中线上配合手写板板书直播授课

利用QQ群直播授课,讲授章节的重难点,并适当增加练习与习题时间。将课堂的主体由教师转变为学生,加强学生的学习主体地位,并突出教师的引导作用。

(利用qq直播)

在讲授过程中利用手写板直接在PPT上板书,在练习时也可直接在白板板书,延续了线下授课板书的优势,学生能更直观的体会到推到计算过程,从而更容易掌握课程内容。

(手写板在PPT内板书)

(手写板在白板板书)

以QQ直播作为主要在线教学方式。QQ直播主要具有以下特点及功能:

(1)可直接在QQ群留言;

(2)启用屏幕分享功能时手写板不易卡;

(3)学生可以连麦;

(4)学生可以把做的题目及时发到QQ群让老师进行讲解批注等。

3.课后复习与作业

教师把课件通过QQ群发给学生,以便学生复习。在学习通发布本周作业,学生登录学习通,完成有关作业并在线提交。

四、线上教学保障

由于硬件或软件可能会发生故障,因此,做了以下两项准备:

(1)为应对台式机故障无法启动,每次上课都会同时打开笔记本,以便在出现故障时直接用笔记本电脑授课。

(2)为应对QQ直播故障,提前准备了腾讯课堂直播软件,以便在需要时改用腾讯课堂直播授课。

《电子竞技游戏解析》线上教学案例

大数据学院 移动电竞教研室

战“疫”决胜阶段,由于长时间的封控,导致部分学生心情出现波动,私聊学生日渐增多。本周伊始,本人根据周末学生反馈重点问题,结合本专业课程,将如何在疫情期间平常心对待、专业后续毕业后能参加哪些电子竞技产业工作、如何正确进入电子竞技行业等后疫情时代学生关注度比较高的话题融入课堂教学中去。

一、课前准备要全面

课前,由于周一开始新一轮核酸检测,开课后15分钟左右学生陆续到齐,在学生全员回到课堂的前15分钟,通过畅谈的方式,对学生的心态进行安抚,以目前校外应对疫情的措施(如餐饮场所不得堂食、校外快递同样停止配送等),让学生知晓校内外情况、了解目前整个青岛市的防控措施,认识到并不只是学校进行封控,而是全员应对疫情的整齐划一,以消除学生内心的差异化设想。

二、授课环节寻求平衡点

在枯燥的课本内容与精彩的视频内容间寻求平衡点。在大家就位后,由于本节课所讲授内容为日本游戏发展史,存在双主线、双剧情、人物线和厂商线对冲等问题,为防止学生听晕或者出现抵触心情,在本章植入较多的视频内容,将长短视频结合,努力做到平均单个时长不超过五分钟,在每次基础知识讲授之后,搭配一个视频的方式,帮助学生理解记忆,充分调动学生的兴趣。

三、引导学生对知识水平拓展

针对日本游戏厂商的发展历史,从整体进行阐述,后进行细节深挖,对其“两豪强+六大”的厂商特点分别进行阐述。并充分利用ppt自带插件,将重点问题进行勾画和延申,让学生了解日本从厂商到制作的内容、制作内容的形式上,与欧美大厂以及国内游戏厂商的区别;在对比国内与日本互联网新兴厂商时,合理引入思政环节,让学生在听课流程中能够思政,而不是感到思政文化的硬植入。

四、实时关注学生课堂在线人数

课上,通过一屏进行授课、一屏关注学生的方式,防止在授课过程中,出现有学生下线做其他事情的状况发生,对于开摄像头的学生,随机时间提问,帮助学生养成“网课就是上课,线上不等于懈怠”的学习心理。

五、课后巩固要跟上

本章在知识分布上,有部分重点内容需要学生记忆,部分内容需要学生了解,因此结合日本的游戏产业的曲折发展史,课后为学生留出一个讲解视频,以供大家学习,通过课后视频的学习以及学生自己落实到实验报告上的具体分析,认识到任何事物的发展都是前进且曲折的这一道理。

六、总结

经过不断努力,线上教学取得不错的效果,大部分学生适应了网课的模式与节奏。在疫情解封后,需要结合线上授课的优势,摸索出更加适合新时代下的教育模式,维护好教育生态健康发展。

Baidu
map